Molecular investigation and virulence determination of methicillin and vancomycin resistant clinical Staphylococcus aureus isolates

Document Type : Original Articles

Authors

1 Department of Microbiology, Falavarjan Branch, Islamic Azad University, Isfahan, Iran

2 Department of Laboratory Sciences, Borujerd Branch, Islamic Azad University, Borujerd, Iran

10.32592/ARI.2025.80.1.209

Abstract

Staphylococcus aureus is an opportunistic pathogen that provides conditions for host invasion due to various virulence factors and plays a role in causing various infections. These bacteria may have different pathogenic functions depending on the susceptibility of the host. This study investigates the sensitivity of S. aureus strains isolated from clinical samples to methicillin and vancomycin and evaluates the presence of resistance, virulence and toxin-producing genes and their expression level in the methicillin-restsnat S. aureus (MRSA), vancomycin-resistant S. aureus (VRSA), and vancomycin-intermediate S. aureus (VISA) isolates.
In a cross sectional study, 502 S. aureus isolates were collected from different infections during one year. Methicillin and vancomycin sensitivity of the isolates was checked by disk diffusion and microdilution broth method, respectively. The presence of resistance, adhesion, and toxin-producing genes was checked using the Multiplex PCR method. The expression level of the virulence and resistance genes was detected in resistant and sensitive isolates using real-time qPCR.
Out of 502 S. aureus isolates, 168 isolates (33.6%) were MRSA. A total of 6 isolates (1.2%) were diagnosed as VRSA and two isolates (0.4%) as VISA. Virulence and resistance-related genes showed different frequencies. The results of the gene expression study showed that the expression of most of the studied genes was significantly higher in resistant isolates (MRSA and VRSA) than in sensitive isolates.
VRSA and MRSA are considered severe threats to human health. The present study showed that sanitary measures are necessary to control this hospital pathogen more seriously due to the presence and expression of genes encoding virulence factors in S. aureus isolates.

Keywords


1. Introduction

Staphylococcus aureus (S. aureus) is a type of Gram-positive bacteria that is naturally present in various parts of the human body. Its primary ecological niche in humans is the external areas of the nasal cavities. However, under certain conditions, such as periods of stress, viral infections, tissue damage, or any factor that weakens the immune system, this bacterium can lead to a wide range of infections. These infections can manifest as diverse clinical presentations, ranging from cutaneous manifestations such as pustules, boils, and abscesses to more severe conditions including osteomyelitis, endocarditis, toxic shock syndrome, and septicemia ( 1 ). The escalating resistance of S. aureus to antibacterial medications constitutes a pivotal concern among health experts. In the face of emergent resistant strains, the development of new antibiotics has proven ineffective in addressing the challenges posed by these infections ( 2 ). Methicillin, a penicillinase-resistant penicillin, was introduced in 1960. A year after its introduction, the first case of methicillin-resistant S. aureus (MRSA) was reported. Subsequent to this, MRSA has proliferated rapidly on a global scale, with a 2003 report by the Clinical and Laboratory Standards Institute (CLSI) indicating a global prevalence of 64.4% ( 3 ). Vancomycin, a glycopeptide, has been a mainstay of treatment against MRSA infections for the past three decades due to its ability to disrupt the construction of the cell wall of Gram-positive bacteria. However, the emergence of vancomycin-intermediate S. aureus (VISA) and vancomycin-resistant S. aureus (VRSA) has led to global concern about the treatment of staphylococcal infections ( 4 ). The identification of vancomycin-resistant strains, the determination of virulence factors, and the study of the spread of these species are of great importance in determining the epidemiology and control of infections caused by these bacteria ( 6 ). This study investigates the sensitivity of S. aureus strains isolated from clinical samples to methicillin and vancomycin. It also evaluates the presence of resistance, virulence, and toxin-producing genes, as well as their expression level, in MRSA, VRSA, and VISA isolates.

2. Materials and Methods

2.1. Bacterial Isolates

This cross-sectional study was conducted on 502 S. aureus isolates from various clinical samples, including discharges, trachea, bronchi, wounds, blood, and catheters. The isolates were obtained from the microbiology laboratories of five hospitals (Loghman Hakim, Milad, Jam, Khatam, and Ebnesina) in Tehran, Iran, during the period from 2019 to 2020. The isolates were confirmed as S. aureus using standard phenotypic tests that had been previously described.

2.2. Antimicrobial Susceptibility Testing

The Kirby-Bauer disk diffusion method was employed to evaluate all S. aureus isolates for MRSA strains on Mueller Hinton agar medium (Merck, Germany) and 30 μg cefoxitin disks (Padtan Teb, Iran). This method was selected in accordance with the CLSI recommended standard for methicillin resistance ( 7 ). Additionally, the vancomycin minimum inhibitory concentration (MIC) was measured for all isolates using the broth microdilution method according to the CLSI recommendation. According to the CLSI standard, the MIC breakpoint for detecting vancomycin-intermediate strains is a concentration between 4-8 μg/ml, and for detecting vancomycin-resistant strains, it is greater than or equal to 16 μg/ml. S. aureus ATCC 29213 and S. aureus ATCC 33592 were utilized as a negative and positive control for methicillin sensitivity, respectively. E. faecalis strain ATCC 51299 was utilized as a vancomycin-resistant strain for the purpose of quality control investigation.

2.3. Detecting the Resistance, Adhesion, and Toxin-Producing Genes

The extraction of deoxyribonucleic acid (DNA) was carried out using the SinaPure EX6021 extraction and purification kit (SinaClon, Tehran, Iran). All MRSA, VRSA, and VISA isolates were screened by PCR for the S. aureus 16s rRNA and mecA genes. The PCR reaction mixture contained 25 µL of the final solution, composed of 1 µL of template DNA (50 ng/ml), 1 µL of each primer (Table 1) with a concentration of 25 pM, and 12.5 µL of master mix 2x (Ampliqon, Germany). Deionized distilled water was used to dilute the solution to the desired volume. The multiplex PCR method was employed in three sets to verify the presence of adhesion genes (icaA, icaB, icaC, icaD, fnbA, fnbB, clfA, and clfB), toxin-producing genes (tsst1, pvl, hla, and sec), and vancomycin resistance genes (vanA, vanB, vanC1-3). In order to accomplish this objective, 12 µL of 2X PCR Master Mix, 4 µL of template DNA, and 1 µL of each primer pair (Table 1) were meticulously combined in a DNase-free microtube with a capacity of 0.2 ml. The total volume of the mixture was then adjusted to 25 µL using RNase-free distilled water. The amplification of the DNA template was subsequently conducted using a Master cycler Eppendorf (Eppendorf, Germany) under the following conditions: an initial denaturation step for 10 minutes at 94°C; followed by 35 cycles at 94°C for 45 seconds, at specific annealing temperatures for 45 seconds, then at 72°C for 45 seconds; a final extension step for 5 minutes at 72°C; and then maintenance at 4°C. Subsequently, the microtubes were placed in a thermocycler, and the reaction was carried out with a specified temperature program. The strains S. aureus ATCC 25923, S. aureus ATCC 29213, S. aureus ATCC 33591, and S. epidermidis ATCC 35556 were utilized as positive controls, while distilled water was employed as the negative control.

Reactions Genes Primer sequences Annealing Temp PCR product size (bp) References
Single reaction 16S rRNA 5′-GGGACCCGCACAAGCGGTGG-3′ 60 191 ( 8 )
5′-GGGTTGCGCTCGTTGCGGGA-3′
Single reaction mecA 5′-GTAGAAATGACTGAACGTCCGATGA-3′ 55 310 ( 9 )
5′-CCAATTCCACATTGTTTCGGTCTAA-3′
Multiple reaction Set1 icaA 5′-GAGGTAAAGCCAACGCACTC-3′ 60 151 ( 10 )
5′-CCTGTAACCGCACCAAGTTT-3′
icaB 5-ATACCGGCGACTGGGTTTAT-3′ 60 140
5-TTGCAAATCGTGGGTATGTGT-3′
icaC 5′-CTTGGGTATTTGCACGCATT-3′ 60 209
5′-GCAATATCATGCCGACACCT-3′
icaD 5′-ACCCAACGCTAAAATCATCG-3′ 60 211
5′-GCGAAAATGCCCATAGTTTC-3′
fnbA 5′-AAATTGGGAGCAGCATCAGT-3′ 60 121
5′-GCAGCTGAATTCCCATTTTC-3′
fnbB 5′-AAATTGGGAGCAGCATCAGT-3′ 60 197
5′-GCAGCTGAATTCCCATTTTC-3′
clfA 5′-ACCCAGGTTCAGATTCTGGCAGCG-3′ 60 165
5′-TCGCTGAGTCGGAATCGCTTGCT-3′
clfB 5′-AACTCCAGGGCCGCCGGTTG-3′ 60 159
5′-CCTGAGTCGCTGTCTGAGCCTGAG-3′
Multiple reaction Set2 tsst-1 5′-TTATCGTAAGCCCTTTGTTG-3′ 60 398 ( 11 )
5′-TAAAGGTAGTTCTATTGGAGTAGG-3′
pvl 5′-GGAAACATTTATTCTGGCTATAC-3′ 60 502
5′-CTGGATTGAAGTTACCTCTGG-3′
hla 5′-CGGTACTACAGATATTGGAAGC-3′ 60 744
5′-TGGTAATCATCACGAACTCG-3′
sec 5′-GGGAATGTTGGATGAAGG-3′ 60 900
5′-AGGCAAGCACCGAAGTAC-3′
Multiple reaction Set3 vanA 5′-GTACAATGCGGCCGTTA-3′ 54 732 ( 12 )
5′-GGGAAAACGACAATTGC-3′
vanB 5′-CCGACAATCAAATCATCCTC-3′ 54 536 ( 13 )
5′-AAGCTATDCAAGAAGCCATG-3′
vanC1 5′-ATCGCATCACAAGGACCAATC-3′ 54 796 ( 14 )
5′-GAAAGACAACAGGAAGACCGC-3′
vanC2 5′-CGCAGGGACGGTGATTTT-3′ 54 484
5′-CGGGGAAGATGGCAGTAT-3′
vanC3 5′-GCTTGTTCTTTGACCTTA-3′ 54 224
5′-GCCTTTACTTATTGTTCC-3′
Table 1.Primer sequences and annealing temperature of investigated genes using multiplex and qPCR.

2.4. Gene Expression Analysis by Real-Time Reverse Transcription (RT)-PCR

Real-time RT-PCR was performed on all isolates. The expressions of genes encoding resistance, adhesion, and toxin factors were determined by real-time RT-PCR using the primers detailed in Table 1. First, total RNA was extracted using an EX6101-RNX Plus Solution for total RNA isolation kit (SinaClon, Tehran, Iran). Then, according to the manufacturer's instructions, cDNA was synthesized using a SinaClon First Strand cDNA Synthesis Kit (SinaClon, Tehran, Iran). The reaction was performed in a StepOne™ Real-Time PCR System (Applied Biosystems, USA). The sequences of the primers utilized are delineated in Table 1. The 16S rRNA gene was utilized as the reference gene. The real-time qPCR was performed in a volume of 10 µL, including 5 µL of SinaGreen HS-qPCR Mix, 2X with low Rox, 0.35 µL of each primer, 1 µL of synthesized cDNA, and 3.3 µL of deionized, diethylpyrocarbonate (DEPC) water. The expression level of genes in MRSA isolates was then compared to that of methicillin-susceptible S. aureus (MSSA) isolates.

2.5. Statistical Analysis

Data were analyzed using SPSS version 19 software, and one-way ANOVA was applied to analyze variance between groups. An error rate of less than 0.05 was considered in this study.

3. Results

3.1. Bacterial Isolates Results

In this study, 502 S. aureus isolates were obtained from various clinical specimens and subjected to microscopic and macroscopic examination. The majority of the samples were obtained from Lughman Hakim Hospital (198 isolates), followed by Milad (122 isolates), Ebnesina (78 isolates), Khatam (58 isolates), and Jam (46 isolates). The most prevalent clinical samples were wound and bone aspiration samples, with a total of 260 samples, while the least prevalent clinical samples were bone marrow aspirates, with a total of only 2 samples.

3.2. Antimicrobial Susceptibility Testing Results

The cefoxitin disk diffusion test of the 502 S. aureus isolates yielded results indicating that 168 isolates (33.46%) were MRSA. In the vancomycin broth microdilution test, two isolates (0.39%) were identified as VISA, six isolates (1.19%) as VRSA, and the remaining isolates (98%) were identified as sensitive strains. The highest percentage of MRSA compared to the number of isolates was observed at Milad Hospital (36.88%), while the lowest resistance rate was recorded at Khatam Hospital (25.86%). Furthermore, Ebnesina Hospital exhibited the highest percentage of VRSA (3/6; 50%) and VISA (1/2; 50%).

3.3 The Results of Detecting the Resistance, Adhesion, and Toxin-Producing Genes

All of the MRSA, VRSA, and VISA isolates were found to harbor the S. aureus 16srRNA gene. Among the 168 MRSA isolates, the mecA gene was absent in only two isolates (1.19%), one of which was VRSA. The remaining VRSA and VISA isolates were found to possess the mecA gene. The presence of the van genes was investigated in 6 VRSA and 2 VISA isolates. The results indicated the presence of van B, van C1, and van C3 genes in three (37.5%), three (37.5%), and one (12.5%) isolates, respectively. The investigation did not reveal the presence of other van genes. A total of 168 isolates were examined for the presence of adhesion (Figure 1a) and toxin (Figure 1b) genes, and the results are documented in Table 2. The adhesion genes demonstrated a predominance of icaD (148; 85.54%) and fnbB (105; 60.69%), while the toxin-producing genes exhibited a high frequency of hla (167; 96.53%).

Studied Genes Total MRSA* VRSA** VISA***
Adhesion Genes icaA 40 (23.12) 16(9.52) 5(83.33) 1(50)
icaB 28(16.18) 8(4.76) 4(66.66) 1(50)
icaC 69(39.88) 55(32.73) 4(66.66) 1(50)
icaD 148(85.54) 117 (69.64) 6(100) 2(100)
fnbA 20(11.56) 12(7.14) 2(33.33) 2(100)
fnbB 105(60.69) 92(54.76) 4(66.66) 1(50)
clf A 33(19.07) 28(16.66) 1(16.16) 1(50)
clf B 40(23.12) 21(12.5) 4(66.66) 1(50)
Toxin-producing genes tsst1 37(21.38) 29(17.26) 2(33.33) 1(50)
pvl 29(16.76) 28(16.66) 1(16.66) 1(50)
hla 167(96.53) 159(94.46) 6(100) 2(100)
sec 18(10.4) 16(9.46) 1(16.6) 1(50)
Table 2.Frequency of study sequence in Staphylococcus aureus isolates.

Figure 1. Electrophoresis image related to adhesion genes(a) and toxin-producing genes(b).

3.4. Gene expression analysis results

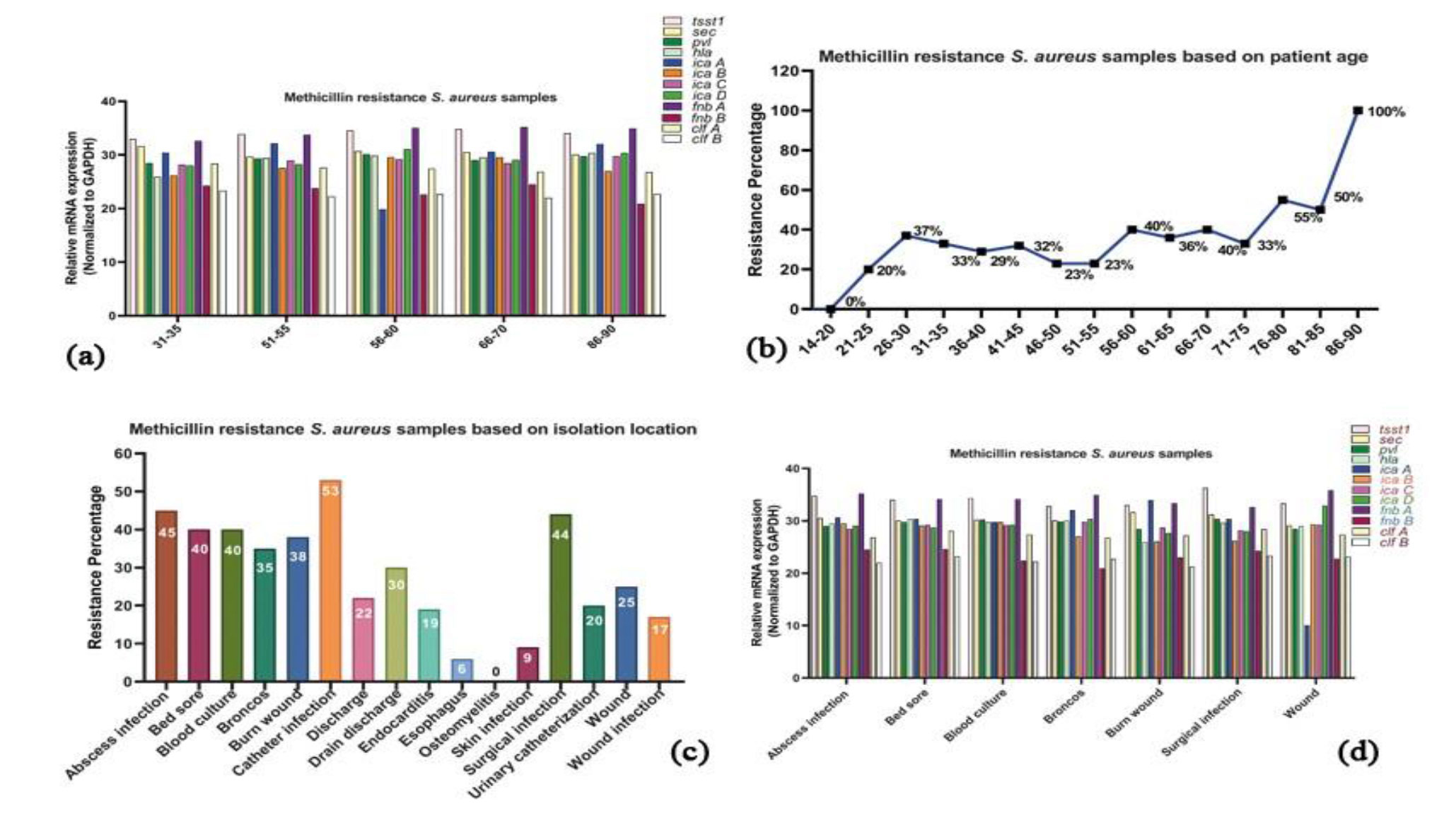
The expression levels of the genes in question were found to be significantly elevated in MRSA, VRSA, and VISA isolates in comparison to the reference gene. Statistical analysis was performed by utilizing Excel software with the Livak formula and Anova software based on the analysis of variance (Figures 2 and 3).

Figure 2. The expression level of all studied genes in MRSA isolates based on age group(a) and isolation sites(d). The percentage of MRSA isolates in relation to age group(b) and isolation sites(c).

Figure 3. The expression level of all studied genes in VRSA isolates according to age group(a) and isolation site(d). Percentage of VRSA isolates according to age group (b) and location site (c).

4. Discussion

In recent decades, there has been a marked increase in the utilization of vancomycin, attributable to the rising prevalence of methicillin-resistant Staphylococcus aureus (MRSA) infections ( 13 ). The present study documented 168 MRSA isolates (33.46%), a percentage that is relatively high. Given the preponderance of this antibiotic in clinical practice, the emergence of antibiotic resistance and the pursuit of strategies to enhance its effectiveness are of paramount importance in the present context. The rationale for this emphasis is twofold: first, the widespread presence of the novel coronavirus and the subsequent disease known as "covid-19" have led to an increase in hospital-acquired infections (HAIs) caused by pathogens such as S. aureus and Acinetobacter baumannii, which can result in fatal outcomes, particularly in hospitalized patients with compromised immune systems. The findings of the Al Bshabshe et al. study ( 14 ) demonstrated a longitudinal increase in the prevalence of MRSA strains. Concurrent findings from other studies, which align with the present study's observations, underscore the global dissemination of MRSA strains ( 15 , 16 ). The present study demonstrates a lower frequency of MRSA strains in comparison to that observed in analogous studies ( 10 - 12 ). The variation in the prevalence of this strain and its methicillin resistance levels can be attributed to various factors. These include the hospital or sampling center, the type of clinical sample, the timing of sampling, and the test method employed ( 17 ). A range of mechanisms have been identified that underpin the resistance of staphylococci to methicillin. One such mechanism involves the acquisition of a novel binding protein to methicillin (PBP2a), which concomitantly reduces the antibiotic's affinity for bacteria. This form of resistance is associated with the mecA gene, which is carried by a region of bacterial DNA known as SCCmec ( 18 ). The mecA gene was detected in 166 of 168 MRSA isolates. However, in two MRSA isolates, the mecA gene was not detected, suggesting the potential involvement of other mec gene types or factors in causing resistance. The present study set out to ascertain the level of vancomycin resistance, and the results showed that, fortunately, the level of resistance to this drug in the isolates was low. A comprehensive investigation involving 502 isolates revealed that 8 isolates (1.59%) were identified as resistant to vancomycin or exhibiting intermediate vancomycin resistance through the broth microdilution method. In contrast, a report by Huang et al. ( 19 ) revealed that among 678 isolates, 13 exhibited intermediate resistance, with no instances of vancomycin resistance identified. A meta-analysis review of the data recorded in scientific sources from 1997 to 2019 was conducted by Shariati et al. According to the studies registered in the databases, 1.5% of the 5,855 studied strains had the VRSA phenotype. The rate of VISA phenotype among the 22,277 studied isolates was reported as 1.7%. Furthermore, among the 47,721 investigated isolates, 4.6% exhibited the heterogeneous VISA (hVISA) phenotype. The present study found that the highest frequency of VRSA and hVISA was reported in the United States, with 3.6% and 5.2%, respectively, while the highest frequency of VISA was 2.1% in Asia. The study's findings underscore the necessity for preventive measures to control vancomycin resistance in these countries. While the frequency of vancomycin-resistant isolates in our study was relatively low, the presence of strains showing intermediate resistance opens up intriguing possibilities for future research.The present study investigated the frequency of virulence genes, including adhesion and toxin-producing genes, and the expression level of these genes in methicillin and vancomycin-resistant strains compared to sensitive strains. The results of the study on adhesion genes demonstrated that all the genes under investigation were present in S. aureus isolates, albeit with varying frequencies. The most prevalent genes were icaD and fnbB, with frequencies of 85.54% and 60.69%, respectively, while fnbA and icaB had the lowest frequencies of 11.56% and 16.18%, respectively. A statistically significant difference (P > 0.05) in the expression levels of all adhesion-related genes (clfA, clfB, fnbA, fnbB, icaA, icaB, icaC, icaD) was observed between methicillin-resistant and methicillin-sensitive isolates. Mollaei and Reshki ( 21 ) conducted a study on 100 S. aureus isolates obtained from patients hospitalized in Zabul. The objective of their study was to examine the presence of adhesion-related genes. The results of this study indicated that 50% of the isolates examined possessed at least one of the studied genes. An examination of the frequency of toxin-producing genes, including HLA, Pvl, Sec, and Tsst-1, revealed the following frequencies: 96.53%, 16.76%, 10.40%, and 21.38%, respectively. In a study by Fathali et al. ( 10 ), 95 out of 200 Staphylococcus aureus isolates were found to be resistant to methicillin. The frequency of hla, pvl, sec, and tsst-1 genes in these resistant isolates was 93.68%, 4.21%, 3.16%, and 60%, respectively. The present study's findings on the HLA gene are consistent with those of the aforementioned study, both indicating a frequency of nearly 95%. Furthermore, the frequency of the aforementioned genes was analyzed in relation to the age and location of the isolation. The present study found that MRSA was most prevalent among samples isolated from catheters. Conversely, the lowest rate was observed in samples derived from esophageal and skin infections. No resistance was observed in the samples isolated from bone infections. Conversely, Nourbakhsh et al. ( 22 ) reported a maximum percentage of MRSA related to wound and catheter infection of 3.6%. Conversely, the results demonstrated an escalating trend in the percentage of resistance among older age groups, a finding that aligns with the present study. With respect to the expression of toxin-producing genes and adherence to sensitive strains, the expression increased in all resistance strains (VISA, VRSA, MRSA, and VRSA-MRSA). The gene expression level exhibited variability across different age groups, defying a consistent pattern in the expression of toxin-producing genes. However, the majority of genes across all resistant categories exhibited increased expression, with an equal ratio observed in the tested age groups. Furthermore, the isolation location variable was examined, and it was observed that among the MRSA isolates, the tsst 1 gene from surgical infections exhibited the highest gene expression. Conversely, the hla gene exhibited the lowest expression among burn wound infections and abscesses. In a study by Saeed Khan et al., all ten samples isolated from the intensive care unit were confirmed to be MRSA, and the Pvl gene exhibited the highest expression among the Hla, Hlb, Hld, Hlg, Sed, See, Seg, She, and Tsst genes ( 23 ). With regard to the expression of adhesion genes, the data indicate that the gene expression level varies among different age groups and does not exhibit consistent changes. The fnbA gene demonstrated the highest expression levels, while the clfB and fnbB genes exhibited the lowest expression levels across the various age groups. The results of a study of 502 clinical samples of Staphylococcus aureus obtained from Tehran hospitals revealed relatively low methicillin and vancomycin resistance rates (33.46% and 1.2%, respectively). A salient finding of the present study was the substantial upregulation of adhesion and toxin-producing genes in the studied isolates. Given the presence of vancomycin resistance, along with resistance genes and virulence factor coding genes, it is imperative to implement robust control measures to address this hospital pathogen. Furthermore, the gene expression study results demonstrated that the expression of most of the studied genes is significantly higher in resistant isolates (MRSA and VRSA) than in sensitive isolates. This finding offers a promising avenue for further investigation in subsequent studies.

Acknowledgment

The authors would like to express their gratitude to all individuals who contributed to the research, and they would like to acknowledge the support of the Islamic Azad University of Falavarjan.

Authors' Contribution

FGh designed the study. NE and MMI collected the clinical data and performed experiments. MME analyzed the data. FGh and NE wrote the main manuscript. MMA and M.MI reviewed the manuscript. All authors accepted the final version of this manuscript.

Ethics

Not applicable.

Conflict of Interest

The authors affirm that they have no financial or personal conflicts of interest.

Data Availability

The data that support the findings of this study are available upon request from the corresponding author.

References

  1. Hemeg H. Staphylococcus aureus: IntechOpen; 2019.
  2. Atshan SS, Shamsudin MN, Karunanidhi A, van Belkum A, Lung LTT, Sekawi Z, et al. Quantitative PCR analysis of genes expressed during biofilm development of methicillin resistant Staphylococcus aureus (MRSA). Infection, genetics and evolution. 2013; 18:106-12.
  3. Elhassan MM, Ozbak HA, Hemeg HA, Elmekki MA, Ahmed LM. Absence of the mecA gene in methicillin resistant Staphylococcus aureus isolated from different clinical specimens in Shendi City, Sudan. BioMed research international. 2015; 2015(1):895860.
  4. Guo Y, Song G, Sun M, Wang J, Wang Y. Prevalence and therapies of antibiotic-resistance in Staphylococcus aureus. Frontiers in cellular and infection microbiology. 2020; 10:107.
  5. Fathali Z, Mirzaee M, NAJAR PS. Identification sec, hla, pvl and tsst-1 toxins genes profile in of Methicillin-Resistant Staphylococcus aureus clinical isolates. 2016.
  6. Harkins CP, Pichon B, Doumith M, Parkhill J, Westh H, Tomasz A, et al. Methicillin-resistant Staphylococcus aureus emerged long before the introduction of methicillin into clinical practice. Genome biology. 2017; 18(1):130.
  7. Praharaj I, Sujatha S, Parija SC. Phenotypic & genotypic characterization of vancomycin resistant Enterococcus isolates from clinical specimens. Indian Journal of Medical Research. 2013; 138(4):549-56.
  8. Gajdács M. The continuing threat of methicillin-resistant Staphylococcus aureus. Antibiotics. 2019; 8(2):52.
  9. Purohit G, Gaind R, Dawar R, Verma P, Aggarwal K, Sardana R, et al. Characterization of vancomycin resistant enterococci in hospitalized patients and role of gut colonization. Journal of clinical and diagnostic research: JCDR. 2017; 11(9):DC01.
  10. Périchon B, Courvalin P. VanA-type vancomycin-resistant Staphylococcus aureus. Antimicrobial agents and chemotherapy. 2009; 53(11):4580-7.
  11. Shokoohizadeh L, Ekrami A, Labibzadeh M, Ali L, Alavi SM. Antimicrobial resistance patterns and virulence factors of enterococci isolates in hospitalized burn patients. BMC research notes. 2018; 11(1):1.
  12. Tarai B, Das P, Kumar D. Recurrent challenges for clinicians: emergence of methicillin-resistant Staphylococcus aureus, vancomycin resistance, and current treatment options. Journal of laboratory physicians. 2013; 5(02):071-8.
  13. Al Bshabshe A, Joseph MR, Awad El-Gied AA, Fadul AN, Chandramoorthy HC, Hamid ME. Clinical Relevance and Antimicrobial Profiling of Methicillin‐Resistant Staphylococcus aureus (MRSA) on Routine Antibiotics and Ethanol Extract of Mango Kernel (Mangifera indica L.). BioMed Research International. 2020; 2020(1):4150678.
  14. AUTO10-A C. Autoverification of Clinical Laboratory Test Results; Approved Guideline. CLSI: Wayne, PA; 2006.
  15. Keneh NK, Kenmoe S, Bowo-Ngandji A, Tatah Kihla Akoachere J-F, Gonsu Kamga H, Ndip RN, et al. A mapping review of methicillin-resistant Staphylococcus aureus proportions, genetic diversity, and antimicrobial resistance patterns in Cameroon. Plos one. 2023; 18(12):e0296267.
  16. Xing A, Ng HM, Jiao H, Li K, Ye Q. The Prevalence, Epidemiological, and Molecular Characterization of Methicillin-Resistant Staphylococcus aureus (MRSA) in Macau (2017–2022). Microorganisms. 2024; 12(1):148.
  17. Congdon ST, Guaglione JA, Ricketts OM, Murphy KV, Anderson MG, Trowbridge DA, et al. Prevalence and antibiotic resistance of Staphylococcus aureus associated with a college-aged cohort: life-style factors that contribute to nasal carriage. Frontiers in Cellular and Infection Microbiology. 2023; 13:1195758.
  18. Lee AS, De Lencastre H, Garau J, Kluytmans J, Malhotra-Kumar S, Peschel A, et al. Methicillin-resistant Staphylococcus aureus. Nature reviews Disease primers. 2018; 4(1):1-23.
  19. Huang S-H, Chen Y-C, Chuang Y-C, Chiu S-K, Fung C-P, Lu P-L, et al. Prevalence of vancomycin-intermediate Staphylococcus aureus (VISA) and heterogeneous VISA among methicillin-resistant S. aureus with high vancomycin minimal inhibitory concentrations in Taiwan: a multicenter surveillance study, 2012–2013. Journal of microbiology, immunology and infection. 2016; 49(5):701-7.
  20. Shariati A, Dadashi M, Moghadam MT, van Belkum A, Yaslianifard S, Darban-Sarokhalil D. Global prevalence and distribution of vancomycin resistant, vancomycin intermediate and heterogeneously vancomycin intermediate Staphylococcus aureus clinical isolates: a systematic review and meta-analysis. Scientific reports. 2020; 10(1):12689.
  21. Mollaei M, Rashki A. The prevalence of adhesive surface encoding genes in staphylococcus aureus isolated from hospitalized patients in Zabol-Iran by multiplex PCR. Journal of Fasa University of Medical Sciences. 2016; 6(3):296-302.
  22. Nourbakhsh F, Momtaz H. Detection of antibiotic resistance patterns in Staphylococcus aureus strains isolated from patients admitted to Isfahan hospitals during 2014-2015. Feyz Medical Sciences Journal. 2015; 19(4):356-63.
  23. Khan S, Marasa BS, Sung K, Nawaz M. Genotypic characterization of clinical isolates of Staphylococcus aureus from Pakistan. Pathogens. 2021; 10(8):918.