Rabbit corneal wound treatment using small intestinal submucosa (SIS) and platelet rich plasma (PRP) scaffold

Document Type : Original Articles

Authors

1 Department of Clinical Science, Science and Research Branch, Islamic Azad University, Tehran, Iran.

2 Department of Pathology, Faculty of Veterinary Medicine, Science and Research Branch, Islamic Azad University, Tehran, Iran

10.32592/ARI.2025.80.2.389

Abstract

Traumatic corneal wounds trigger numerous inflammatory reactions. This severe inflammation can lead to fibrosis or scarring on the cornea's surface by inhibiting the growth of the natural epithelium. In this study, the healing effects of two simultaneous treatments of small intestine submucosal graft (SIS) and platelet-rich plasma (PRP) in rabbit corneal wound healing were investigated. Twenty white New Zealand rabbits weighing 2.5 to 3 kg, clinically healthy, and with no history of eye disease were selected and divided into four groups (N = 5) and subjected to a wound induction test by crescent knife. Following wound formation, the studied groups included control (absence of corneal wound covering with only physiological serum), PRP+SIS, SIS, and PRP in the form of 1 cc subconjunctival drops of PRP every 12 hours. In groups with SIS, the dressing was placed on the wound with a circumferential suture. With clinical eye examination and fluorescein staining, the wounds were examined in terms of size, infection, turbidity, and edema. 21 days after the operation, half of the animals from each group were killed, and their corneas were evaluated by histopathology. On the 21st day of the study, the PRP+SIS group had the lowest amount of corneal opacity. In the histopathological evaluation, the calculation of the number of rows of epithelium was not significant. The corneas of the PRP and SIS + PRP groups, as well as the SIS group, exhibited significantly less vascularization compared to the control group. The order of stromal collagens was significant in both the SIS group with SIS + PRP and the control group with SIS + PRP. The amount of edema between the control group and the SIS + PRP and PRP groups was significant. The level of inflammation was significantly lower only between the control and SIS+PRP groups had significantly lower levels of inflammation. SIS and PRP alone cannot have the simultaneous use effect that we saw in the SIS and PRP groups. As a result, using the SIS + PRP method in such corneal wounds may be an effective method with less vascularization and inflammation.

Keywords

Main Subjects


1. Introduction

The cornea is the transparent outer layer of the eye that serves as an anatomical barrier between the external environment and the interior of the eye. It is also responsible for refraction, the process by which light is bent as it passes through the eye. Severe corneal damage can result in a loss of clarity and associated visual problems. Corneal injuries frequently result in damage to the epithelium and its basement membrane. The healing process initiated by active fibroblasts, keratocytes, and myofibroblasts is subject to termination. TNF-α, IL-1, and TGF-β represent a subset of the growth factors and cytokines that have been identified as playing a regulatory role in these processes. Myofibroblasts, due to their role in preserving the cornea's integrity, have an impact on corneal ulcer healing in both positive and negative ways. Persistent scarring can also be attributed to the actions of myofibroblasts. Consequently, following severe corneal injury, the differentiation of cells and the elimination of myofibroblasts are imperative for the process of remodeling ( 1 ). Corneal neovascularization is the consequence of excessive wound healing after surgery, trauma, or infection. The formation of new vascular structures in previously avascular regions is referred to as neovascularization. Corneal neovascularization, for instance, is generally associated with infectious or inflammatory ocular surface diseases. A review of the research on cancer angiogenesis reveals that the cornea maintains a delicate balance between anti-angiogenic chemicals, such as endostatin, angiostatin, and pigment epithelium-derived factor, and angiogenic factors, including VEGF and FGF. Neovascularization, also known as angiogenesis, is the process of new blood vessel formation in the cornea. This phenomenon can be triggered by various factors, including inflammation, infection, damage, and injury. The role of proteolytic enzymes, including metalloproteinases (MMPs), in the process of corneal neovascularization remains a subject of research ( 2 ). A variety of materials are utilized in corneal transplantation procedures, including platelet-rich plasma (PRP) and small intestinal submucosa (SIS) methods. Platelet-rich plasma (PRP) is defined as an autologous concentration of platelets in a small volume of plasma that is obtained by centrifugation of whole blood. The alpha granules of platelets have been found to be rich in growth factors that promote angiogenesis, reduce inflammation and collagen deposition, and provide background material outside the cells. In rabbits subjected to keratectomy, subconjunctival injection of PRP has been shown to expedite corneal re-epithelialization and regeneration, stimulate fibroblast migration, and reduce inflammation. The administration of PRP in isolation, devoid of topical antibiotics, has been demonstrated to yield optimal outcomes ( 3 ). In 2021, Farghali et al. demonstrated that the use of PRP in corneal wound healing in dogs and cats accelerates re-epithelialization ( 2 ). To date, studies on the effects of PRP on metalloproteinases in cases of canine keratoconjunctivitis sicca have been limited, and the results are controversial ( 4 , 5 ). In 2023, Piso et al. demonstrated that the application of platelet-rich plasma eye drops influenced the production of matrix metalloproteinases involved in corneal healing ( 4 ). SIS is a type of biological material that is utilized in clinical cases. The structural characteristics, biological activity, and immune response of SIS render it conducive to bodily repair. This material has found applications in tissue engineering and regenerative medicine, particularly in the engineering of organs such as vessels, bladders, gastrointestinal tracts, valves, and tendons ( 6 ). SIS is comprised of various compounds, including collagen, elastin, fibronectin, laminin, glycosaminoglycans, and proteoglycans. The presence of fibroblast growth factors (FGF-2), beta-growth factors (TGF-β), and vascular endothelial growth factors (VEGF) has also been documented. The majority of the SIS is composed of collagen, with the remaining components contributing a negligible amount. Collagen has been demonstrated to facilitate wound repair through the process of contraction ( 4 ). The multifunctional glycoprotein in question has been demonstrated to regulate cell attachment to the ECM, while proteoglycans have been shown to provide cell adhesion sites and to inhibit substrate-degrading enzymes (Mulloy et al., 2006). Furthermore, it has been demonstrated that this process instigates the secretion of growth factors, including VEGF and TGF-β, by SIS ( 7 ). However, the comparative efficacy of these methods in treating corneal ulcers remains to be elucidated. Consequently, the objective of this research is to ascertain and implement the most efficacious method for treating corneal ulcers by comparing various biological materials utilized in wound healing with each other.

2. Materials and Methods

2.1. Ethical Approval

This research involves the use of animals, and its ethical management was approved by the Ethics Committee. The Ethics Committee deliberated on the ethical management of animals, encompassing an ophthalmic assessment format for each member involved in the study who was tasked with analyzing the severity of the lessons. In optimal conditions, animal welfare was observed, and nose-to-nose contact between patients was avoided. An animal observation assessment was conducted, consisting of three separate daily checks. Two of the aforementioned inspections entailed an examination of each individual. Furthermore, a daily intramuscular injection of 2.2 mg/kg of flunixin meglumine was administered for a period of five days to mitigate post-surgical swelling and pain. It is noteworthy that in the treatment of corneal ulcers, which are recognized as the most distressing for patients, the administration of pre-anesthetic medication containing xylazine is employed. In such cases, the administration of xylazine is imperative to mitigate discomfort. Furthermore, the administration of deep general anesthesia is a standard practice during the entirety of the surgical procedure. During the course of the investigation, the patients did not display any significant indications of severe pain, such as discomfort or other symptoms. Indeed, the subjects demonstrated adherence to their prescribed dietary regimens and maintained optimal levels of physical activity, exhibiting no significant deviations that would necessitate special consideration or exclusion from the experimental protocol.

2.2. Platelet-Rich Plasma Preparation

In order to maintain the product's autologous principle, platelet-rich plasma (PRP) was obtained from the same animal on the day prior to the ulceration on which it is intended to be administered. The utilization of a two-fold centrifugation procedure, encompassing 10 milliliters of whole blood in conjunction with an anticoagulant citrate dextrose solution, yielded 0.7 milliliters of non-activated PRP, irrespective of the application form employed.

2.3. Preparation of the Sheep Decellularized Small Intestinal Submucosa (SIS)

The decellularization protocol entailed mechanical separation of the intestinal layers from each other, followed by detergent treatment and washes with 0.9% saline solution. SIS was prepared by mechanical removal of the tunica serosa and tunica muscularis from the small intestines, followed by repeated washes with saline solution to ensure thorough cleansing. The SIS was then subjected to a treatment comprising 1% sodium dodecyl sulfate (SDS) under continuous shaking for a period of two days. Thereafter, it was thoroughly rinsed with a saline solution and subsequently treated with 1% triton X-100. The detergent was eliminated through the implementation of a comprehensive rinsing process with a saline solution containing 1% pen/strep. Following the conclusion of the decellularization protocol, all SIS membranes were retrieved and subjected to lyophilization using SCANVACVR Coolsafe for a duration of 12 hours.

2.4. Animals

Twenty New Zealand white rabbits (Oryctolagus cuniculus) from the Experimental Animal Center, with weights ranging from 2.5 to 3.0 kilograms, were utilized for cell transplantation. A series of clinical observations were conducted to assess the health status of the animals. The small intestine of the rabbit was obtained from the donor group in the laboratory in compliance with the ethical principles of laboratory animals.

2.4.1. Studied Groups

In the aftermath of ulceration, the groups under consideration were as follows: the control group, which received three drops of physiological serum per day for a period of 14 days; the PRP+SIS group, which received eight drops of PRP equally divided into four daily doses for 14 days; the PRP group, which received eight drops of PRP equally divided into four daily doses for 14 days; and the SIS group, which received SIS graft only.

2.4.2. Corneal Ulceration

The induction of anesthesia was achieved by the intramuscular administration of ketamine (10% Rotex Pharmaceutical Company, Germany) at a dose of 20 mg/kg and xylazine (2% Bremerpharma, Pharmaceutical Company, Germany) at a dose of 1 mg/kg. Following the administration of a general anesthetic, the left eye of each rabbit was coated with two drops of 0.5% tetracaine. Five minutes later, the cornea was lacerated using a crescent knife, with the laceration measuring one millimeter. The eye was then irrigated with 2 milliliters of sterile normal saline. Following the ulceration, the eye was stained with fluorescein to ensure the uniformity of the wounds. To prevent post-operative pain, a single dose of flunoxine meglumine (Royan Daru Pharmaceutical Company) at 1 mg/kg was injected subcutaneously into all groups ( 8 ).

2.4.3. Fixation of SIS

The resulting synthetic intraocular lens (SIS) in the sterile saline solution was trimmed to cover the corneal ulcer. The surgical site infection (SIS) was addressed through the application of 8-0 sutures (Vicryl resorbable suture, Ethicon, United Kingdom), which were placed in four circular positions surrounding the affected area.

2.4.4. Care After Surgery

In order to prevent infection, enrofloxacin (30 mg/kg/d) was injected intramuscularly for a period of five days. For the purpose of achieving an analgesic effect, tramadol (20 mg/kg) was injected on a daily basis for a period of three days. Furthermore, a meticulous examination was conducted to ascertain the presence of swelling, inflammation, secretions, and any underlying local infections.

2.4.5. Measurement of Corneal Opacity

The degree of corneal opacity was evaluated using the slit lamp and scored according to a previously reported technique ( 9 ). The following were the respective scores: The following four types of areas are identified: The iris can be described as follows:

• Diffuse or scattered with visible iris details.

• Easily observable translucent with somewhat veiled iris details.

• Opalescent with barely perceptible pupil size and no visible iris details.

• Opaque with no apparent iris details.

2.5. Microscopy

2.5.1. Histopathology

At the conclusion of the third week, the animals were anesthetized, and the eyeballs were extracted. Following the separation of the eyeballs, the samples were placed in 10% formalin and sent to the pathology laboratory. In the laboratory, the cornea disk was separated from the eyeball, and after the preparation of the paraffin block, 5 µm sections were prepared and stained with hematoxylin-eosin. Finally, the sections were scored according to the evaluation criteria of the indicators. A histological grading system was employed to assess the severity of the corneal ulcer, with a scale ranging from 0 to 3, according to the following parameters: vascularization, epithelialization, inflammation, edema, and collagen regularity. The vascularization phenomena were classified as follows: 0=absent, 1=mild, 2=moderate, and 3=high. The vascularization phenomena were classified as follows: 0=absent, 1=mild, 2=moderate, and 3=high. The vascularization phenomena were categorized as follows: 0=no vascularization, 1=mild, 2=moderate, and 3=high. The epithelialization phenomena were classified as follows: 0: absent, 1: 1-2 layers, 2: 3-4 layers, and 3: ≥5 layers. The inflammation was categorized as follows: 0, indicating no inflammation; 1, indicating mild, scattered inflammation; 2, indicating moderate inflammation; and 3, indicating high, diffuse inflammation. The edema phenomena were categorized as follows: 0, absent; 1, mild and focal; 2, moderate and focal; and 3, high and diffuse. The Collagen regularity phenomena were designated as follows: 0 indicated no phenomenon, 1 indicated mild phenomenon, 2 indicated moderate phenomenon, and 3 indicated normal phenomenon.

2.5.2. Immunohistochemistry (IHC)

The expression levels of CD31 and αSMA were evaluated using the IHC method to define the rate of vascularization and the myofibroblast population, respectively. The IHC test provides a score ranging from 0 to 3, which is indicative of the quantity of specific receptor protein present on the surface of cells in a corresponding tissue sample. In the event that the score falls within the range of 0 to 1, it is designated as negative. In the event that the score is 2, it is designated as "borderline." A score of 3 or higher is designated as positive ( 10 ).

2.6. Statistical Analysis

For the purpose of statistical analysis and pathological results analysis, all qualitative data were converted into quantitative data by utilizing Graphpad Prism software version 9 and graded on an incremental scale ranging from 0 to 3. The data were evaluated through the implementation of the non-parametric method, specifically the Kruskal-Wallis post hoc test, for the purpose of comparing different groups, and the Mann-Whitney U test for the purpose of comparing two groups. The differences were considered to be significant at the level of p < 0.05.

3. Results

3.1. Corneal Opacity (Edema)

On the 21st day, the control group exhibited a higher incidence of corneal opacity compared to the PRP, SIS, and PRP+SIS groups. Furthermore, a substantial discrepancy was detected among the treatment groups, suggesting that the PRP+SIS group exhibited the least opacity in comparison to the other groups (Figures 1 and 2).

Figure 1. In vivo observations of corneal opacity in ulcerated rabbit. Photographs of corneas from treated rabbit for 0, 7, 14 and 21 days.

Figure 2. The corneal opacity scoring. *: p<0.05; **: p<0.01; ***: p<0.001; ****: p<0.0001.

3.2. Histopathological Findings

3.2.1. Vascularization

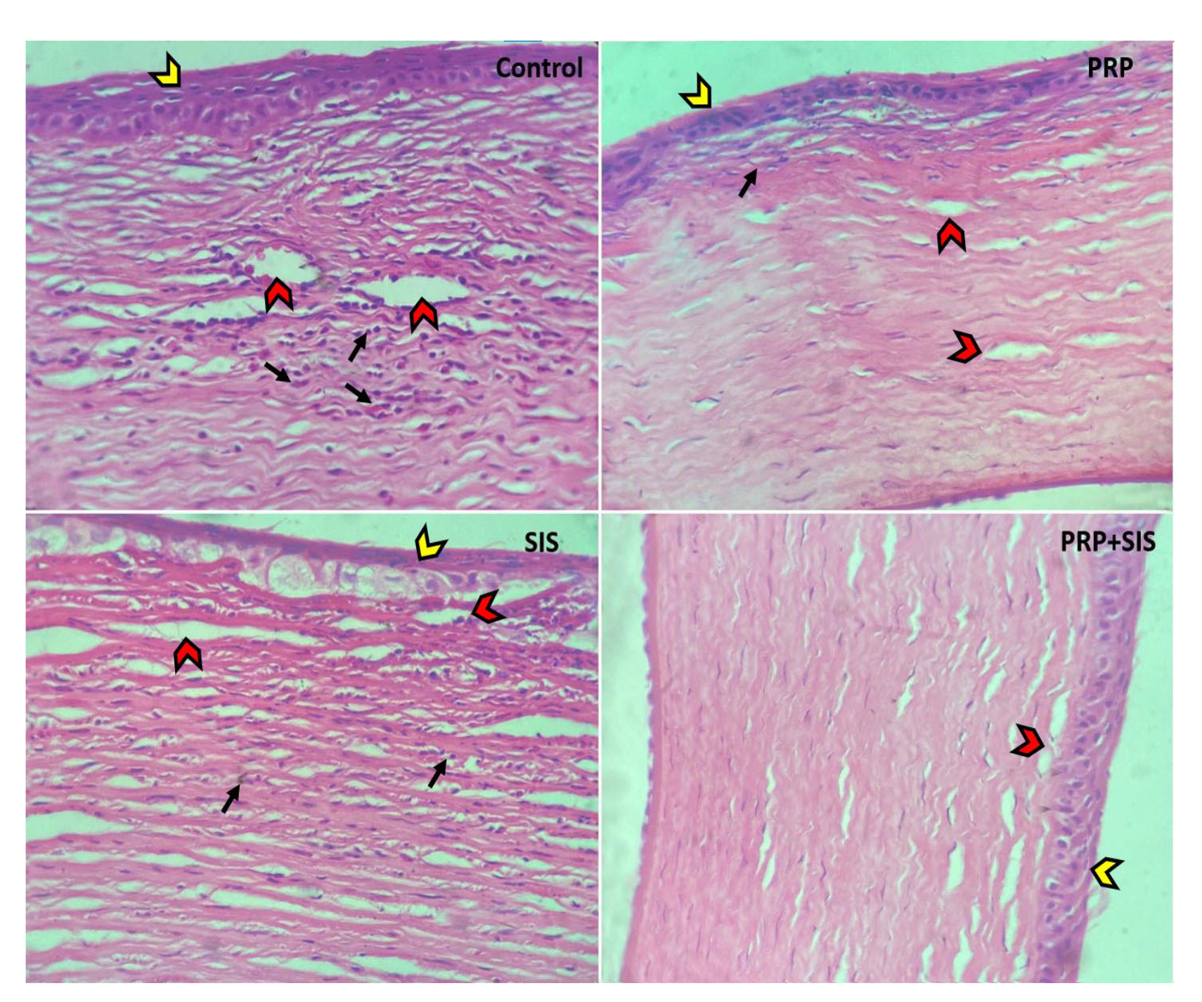
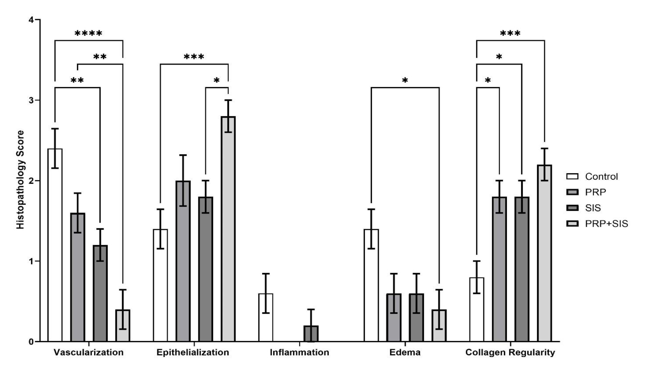
The groups exhibited significant disparities in their characteristics. A substantial discrepancy was observed between the control group and the other groups. Furthermore, the PRP and PRP+SIS groups did not demonstrate any substantial disparities. Conversely, a substantial weekly discrepancy was observed between the control and SIS groups. This finding indicates that PRP and scaffolding exhibit a high degree of compatibility, effectively enhancing the treatment of corneal lesions and establishing optimal conditions for recovery, as illustrated in Figures 3 and 4.

Figure 3. The corneal ulcer histopathology scoring. *: p<0.05; **: p<0.01; ***: p<0.001; ****: p<0.0001.

Figure 4. PRP+SIS > PRP > SIS > control. All pictures are at the same magnification (HE × 100).

3.2.2. Epithelialization

The epithelialization of the treated and control groups did not differ from one another. No substantial disparities were identified in the PRP, SIS, and PRP+SIS groups. This finding suggests that PRP and scaffold, either individually or in combination, may not offer superior comfort for corneal ulcer healing compared to the control group (Figures 3 and 4).

3.2.3. Edema

The incidence of edema exhibited variability between the treatment and control groups. The data demonstrated that the edema distribution in the PRP and PRP+SIS groups was significantly lower than that of the control group (Figures 3 and 4).

3.2.4. Inflammation

The inflammation levels across all groups were comparable, with the exception of the control and PRP+SIS groups. The absence of irritating behavior on the corneal ulcer's surface by either PRP or SIS suggests that the inflammatory response was not exaggerated in the therapy groups, indicating the potential of combined therapy to reduce the inflammatory process (Figures 3 and 4).

3.2.5. Collagen Regularity

The inflammation levels across all groups were comparable, with the exception of the control and PRP+SIS groups. The absence of irritating behavior on the corneal ulcer's surface by either PRP or SIS suggests that the inflammatory response was not exaggerated in the therapy groups, indicating the potential of combined therapy to reduce the inflammatory process (Figures 3 and 4).

3.2.6. Immunohistochemistry

CD31 and α-SMA were evaluated by IHC method. Three weeks after surgery, immunohistochemistry was performed to estimate the number of blood vessels (CD31) and the differentiation of myofibroblasts (α-SMA). Figures 5 and 6 show that in the PRP+SIS group, α-SMA was observed only focally under the corneal basement membrane. In contrast, in the control and SIS groups, α-SMA was widely detected in the corneal stroma. In the PRP+SIS group, the detection of -SMA was very rare. Overall, PRP with or without SIS significantly accelerated myofibroblast reduction and keratocyte dedifferentiation ( 11 ). All groups had lower CD31 levels than the control, indicating that clearance and transparency improved in these groups.

Figure 5. The corneal ulcer IHC scoring. *: p < 0.05; **: p < 0.01; ***: p < 0.001.

Figure 6. The corneal IHC against CD31 and αSMA molecules (IHC × 100).

4. Discussion

Corneal ulcer is regarded as one of the most urgent ophthalmic diseases, and to forestall the propagation of its complications, prompt and commensurate treatment is imperative, as determined by clinical and microbiological investigations. The majority of ophthalmologists opt to treat patients with corneal ulcers with broad-spectrum antibiotics without conducting a laboratory examination. This treatment has proven to be effective for a significant proportion of patients ( 12 ). However, this treatment modality has not been demonstrated to be effective for all patients. Consequently, in all cases of corneal ulcers, sampling and culture are recommended. This approach, in addition to facilitating diagnosis, has been shown to enhance antibiotic penetration and delay necrotic tissue formation ( 13 ). A wide range of diseases have the potential to inflict damage upon the cornea, thereby altering its shape and transparency. One such disease is a corneal ulcer. The development of a corneal ulcer is indicative of damage to the layers of the cornea. A wide array of factors have been identified as contributing to the development of corneal ulcers, including bacterial, fungal, viral, parasitic, Bell's palsy, dry syndrome, and corneal damage and wear ( 14 ). In the event that these treatments prove ineffective, the necessity for surgical intervention and corneal transplantation arises. A variety of biomaterials are utilized in corneal transplantation procedures, including platelet-rich plasma (PRP) and small intestinal submucosa (SIS) methods. Platelet-rich plasma (PRP) is defined as a volume of autologous blood plasma with a high concentration of platelets ( 15 ). Within the platelet alpha granules, various factors, including tissue growth factor beta (TGFβ), platelet-derived growth factor (PDGF), and vascular endothelial growth factor (VEGF), have been identified as crucial elements that stimulate corneal regeneration and augment blood supply to the affected region ( 16 ). In this method, TGFβ remains active during inflammation and helps regulate cell migration and proliferation. However, VEGF acts as an angiogenesis stimulator after the inflammatory phase ( 17 ). In a separate study conducted in 2021, Farghali et al. treated canines and felines with corneal ulcers of various origins with PRP. The researchers found that the levels of the matrix genes MMP-2 and MMP-9 were dramatically reduced compared to the control group. In the domain of zymography, the animals demonstrated complete recovery, with regrowth of epithelial tissue in wounds and restoration of corneal transparency within a 14-day period ( 2 ). Conversely, Sakimoto et al. in 2007 and Pifer et al. in 2014 demonstrated that the efficacy of PRP in cases of frequent corneal erosion problems is contingent on the quantity of leukocytes, thereby increasing MMP levels ( 18 , 19 ). The presence of additional corneal ulcers has been demonstrated to result in the development of further corneal edema, as evidenced by clinical symptoms. The corneal epithelium contains a greater number of hydromolecules, which renders conjunctiva ulcers more susceptible to corneal edema. Corneal edema has been demonstrated to be associated with leukocyte infiltrations, which may be induced by PRP-containing leukocytes. Conversely, the presence of leukocytes in the PRP has been shown to reduce vascular endothelial growth factor (VEGF) expression and enhance the expression of pro-inflammatory lL12 and IL-16 cytokines. In 2012, Kim et al. conducted a study that was subsequently titled "Effect of Autologous Platelet-Rich Plasma on Persistent Corneal Epithelial Defect After Infectious Keratitis." To this end, platelet-rich plasma was extracted from the blood. Subsequently, an array of PRP factors, encompassing TGFβ, EGF, vitamin A, and fibrinogen, were subjected to quantitative analysis within the context of autologous serum. The findings of the study indicated that, with the exception of EGF, there is no statistically significant difference between the aforementioned factors. However, EGF levels were found to be significantly higher in PRP compared to autologous serum. The findings of the study demonstrated that the degree of healing in the PRP group exhibited a significant increase compared to the level of healing observed in the animal's own serum ( 20 ). In 2014, Acosta et al. investigated the effects of PRP in the treatment of corneal ulcers. The study's findings indicated that corneal wound healing in the PRP-treated group exhibited a statistically significant difference when compared to the control group ( 8 ). In 2019, Alizade et al. conducted a study with the objective of investigating the effects of PRP eye drops on corneal wound healing after keratoplasty. To this end, the researchers selected 34 subjects who had undergone keratoplasty for the study. Subsequently, PRP was administered to the eyes of the wounds on a three-hour schedule. According to their observations, they concluded that the treatment with PRP was completely successful, and the average recovery in the eye with full PRP was significantly lower than the recovery without PRP. Additionally, no statistical disparities were observed between age, gender, or the technique utilized for corneal modifications ( 21 ). In 2021, Kamiya et al. investigated the effect of platelet-rich plasma on corneal repair after keratectomy. To this end, an examination of the eyes of 10 patients was conducted. Thereafter, PRP was administered topically to the patients' eyes four times a day for a period of two weeks. Subsequent to the keratectomy, the repair position was quantitatively measured on one, two, and one-week occasions. The results of their study demonstrated that, in the group receiving PRP, the wound site was significantly smaller one day and two days after administration. However, a statistically significant difference was not observed until the seventh day. Furthermore, on the first and second days, the healing of epithelial cells in the PRP group exhibited a significant increase compared to the control group. However, on the seventh day, this difference did not reach statistical significance. The study found no statistically significant differences in pain or tears between the groups. The researchers acknowledged that PRP treatment is effective in healing corneal wounds ( 22 ). The small intestine submucosa constitutes an additional type of biological material utilized in clinical settings. The structural characteristics, biological activity, and immune response of SIS render it conducive to bodily repair. This substance has been approved in tissue engineering and medicine as a regenerative agent for different organs. SIS is comprised of various compounds, including collagen, elastin, fibronectin, laminin, glycosaminoglycans, and proteoglycans. Collagen has been demonstrated to facilitate wound repair through the process of contraction ( 23 ). The arrangement of collagen bundles in a line or in close proximity to one another has been observed to be associated with regular and beneficial healing. To enhance the healing process of corneal wounds, the production of collagen by fibroblasts is essential, followed by the integration of collagen bundles into the matrix. In 2005, Yoon and colleagues investigated the regenerative effects of serum extracted from the umbilical cord on repairing corneal epithelial defects. In the treatment of 14 eyes from 14 patients with corneal defects, umbilical cord serum was utilized for a period of two weeks. Subsequently, the restoration process was subjected to evaluation through the utilization of a biomicroscope. The study's findings indicated that the serum extracted from the umbilical cord exhibited a complete healing effect in six eyes and an incomplete effect in the remaining six ( 24 ). A parallel investigation was conducted in which the serum from the umbilical cords of diabetic rabbits was assessed for its capacity to promote corneal healing in a model of diabetic ulceration ( 25 ). The present study demonstrated that the concomitant utilization of PRP drops and SIS yielded synergistic healing outcomes. The following metrics were included: collagen regularity, corneal vascularization, and corneal transparency restoration. The primary focus of this study was on the early healing benefits of PRP and SIS. While the presence of myofibroblasts, identified by IHC for aSMA, suggests a healing phenotype, an overabundance of residual myofibroblasts secreting aberrant ECM proteins can also lead to corneal opacity. In order to clean the cornea, it is necessary to first ensure the complete resolution of the wound, which is accompanied by the disappearance of myofibroblasts. At day 21, a significant improvement in corneal opacity was observed across all groups in this trial, with mean scores of approximately 14 in the control group, 9 in the SIS group, 6 in the PRP group, and 4 in the PRP+SIS group. However, the complete restoration of the cornea can require a period of weeks to months. Further research is necessary to ascertain the long-term implications of SIS and PRP on corneal clarity and complete reconstruction. However, while the use of PRP or SIS has been demonstrated to elicit therapeutic effects, the efficacy of these treatments is maximized when both are utilized concomitantly. The objective of this study was to investigate the benefits of PRP and improved SIS in accelerating corneal wound healing. At day 21, a comparison of corneal opacity showed significant improvement for all groups in the study, with approximate scores of 14 in the control group, 9 in the PRP group, 6 in the SIS group, and 4 in the PRP+SIS group. However, it is imperative to note that the complete regeneration of the cornea can require a period of several weeks to months. Research has indicated that during the initial phases of inflammation, edema, and angiogenesis, the concentration and regularity of collagen are low, while the levels of these phenomena are high. This observation aligns with the findings of the present study, wherein distinct treatment groups exhibited substantial disparities in their histological components. The presence of myofibroblasts (as indicated by IHC for α-SMA) is an undesirable phenotype that results in corneal opacification due to excessive secretion of atypical ECM proteins. The restoration of corneal clarity is contingent upon the complete resolution of myofibroblast proliferation following the initiation of wound healing. In this study, it was observed that the expression of α-SMA in the control and SIS groups was higher than in the PRP and PRP+SIS groups. This suggests that the latter two groups had fewer myofibroblasts and, consequently, exhibited enhanced improvement. However, the expression of CD31 differed, indicating that the control group exhibited the greatest number of surviving blood vessels, while the expression was significantly reduced in the other groups, suggesting the healing effects of both PRP and SIS. Consequently, as evidenced by the findings, the PRP and SIS groups exhibited accelerated recovery in comparison to the control group. Additionally, the inflammation and edema exhibited a controlled response, accompanied by enhanced collagen synthesis. In the case of the PRP+SIS group, the simultaneous administration of both resulted in brighter results in terms of pathology grading. The result of this study is that the simultaneous administration of SIS membrane and PRP drops has beneficial and synergistic effects on the healing of deep corneal wounds. The SIS membrane and the PRP alone exhibited substantial healing effects. However, neovascularization and its timely resolution, following an increase in corneal transparency, were observed in the group treated with a combination of PRP and SIS. The use of PRP as a therapeutic agent is predicated on its autologous properties, safety, low cost, and therapeutic effects. In addition, the combination of PRP and cis has been demonstrated to provide additional healing effects.

Acknowledgment

This study was supported by the Research Committee of Islamic Azad University, Department of Science and Research, Kaj Veterinary Medicine. The authors express their gratitude to expert Mohammad Abedi.

Authors' Contribution

MHB: data collection, drafting the manuscript, and supervising the study process; AJ: study design and conducting the study; HF: supervised the surgery process, PM: supervised the histopathological slides.

Ethics

The research project was formally endorsed by the Ethics Committee of the Science and Research Branch of the Islamic Azad University (code: IR.IAU.SRB.REC.1402.017).

Conflict of Interest

The authors declare that they have no conflict of interest.

Financial Support

The financial support for this study was provided by the Science and Research Branch of the Islamic Azad University in Tehran, Iran.

Data Availability

The authors affirm that the data substantiating the study's findings are accessible within the article and its supplementary materials.

References

  1. de Oliveira RC, Wilson SE. Fibrocytes, Wound Healing, and Corneal Fibrosis. Invest Ophthalmol Vis Sci. 2020; 61(2):28.
  2. Farghali HA, AbdElKader NA, AbuBakr HO, Ramadan ES, Khattab MS, Salem NY, Emam IA. Corneal Ulcer in Dogs and Cats: Novel Clinical Application of Regenerative Therapy Using Subconjunctival Injection of Autologous Platelet-Rich Plasma. Front Vet Sci. 2021; 8:641265.
  3. Tanidir ST, Yuksel N, Altintas O, Yildiz DK, Sener E, Caglar Y. The effect of subconjunctival platelet-rich plasma on corneal epithelial wound healing. Cornea. 2010; 29(6):664-9.
  4. Piso DYT, Barreto MYP, Bonilla M, Rincón AC, Páez OLA, Rengifo CA, de Andrade AL. Effects of platelet-rich plasma on corneal re-epithelization and metalloproteinase expression in the cornea of sheep with experimentally-induced infectious keratoconjunctivitis. Vet World. 2023; 16(4):799-810.
  5. Sharun K, Jambagi K, Dhama K, Kumar R, Pawde AM, Amarpal Therapeutic Potential of Platelet-Rich Plasma in Canine Medicine. Arch Razi Inst. 2021; 76(4):721-30.
  6. Liang R, Woo SL, Nguyen TD, Liu PC, Almarza A. Effects of a bioscaffold on collagen fibrillogenesis in healing medial collateral ligament in rabbits. J Orthop Res. 2008; 26(8):1098-104.
  7. Liu Z, Liu X, Bao L, Liu J, Zhu X, Mo X, Tang R. The evaluation of functional small intestinal submucosa for abdominal wall defect repair in a rat model: Potent effect of sequential release of VEGF and TGF-β1 on host integration. Biomaterials. 2021; 276:120999.
  8. Acosta L, Castro M, Fernandez M, Oliveres E, Gomez-Demmel E, Tartara L. [Treatment of corneal ulcers with platelet rich plasma]. Arch Soc Esp Oftalmol. 2014; 89(2):48-52.
  9. Pauly A, Brignole-Baudouin F, Labbé A, Liang H, Warnet JM, Baudouin C. New tools for the evaluation of toxic ocular surface changes in the rat. Invest Ophthalmol Vis Sci. 2007; 48(12):5473-83.
  10. Rakha EA, Tan PH, Quinn C, Provenzano E, Shaaban AM, Deb R, et al. UK recommendations for HER2 assessment in breast cancer: an update. J Clin Pathol. 2023; 76(4):217-27.
  11. Choi S-Y, Kim S, Park K-M. Initial Healing Effects of Platelet-Rich Plasma (PRP) Gel and Platelet-Rich Fibrin (PRF) in the Deep Corneal Wound in Rabbits. Bioengineering. 2022; 9(8):405.
  12. Levey SB, Katz HR, Abrams DA, Hirschbein MJ, Marsh MJ. The role of cultures in the management of ulcerative keratitis. Cornea. 1997; 16(4):383-6.
  13. Gupta N, Tandon R. Investigative modalities in infectious keratitis. Indian J Ophthalmol. 2008; 56(3):209-13.
  14. Sharma S, Taneja M, Gupta R, Upponi A, Gopinathan U, Nutheti R, Garg P. Comparison of clinical and microbiological profiles in smear-positive and smear-negative cases of suspected microbial keratitis. Indian J Ophthalmol. 2007; 55(1):21-5.
  15. Pietrzak WS, Eppley BL. Platelet rich plasma: biology and new technology. J Craniofac Surg. 2005; 16(6):1043-54.
  16. Everts PA, Devilee RJ, Brown Mahoney C, Eeftinck-Schattenkerk M, Box HA, Knape JT, van Zundert A. Platelet gel and fibrin sealant reduce allogeneic blood transfusions in total knee arthroplasty. Acta Anaesthesiol Scand. 2006; 50(5):593-9.
  17. Ahola-Olli AV, Würtz P, Havulinna AS, Aalto K, Pitkänen N, Lehtimäki T, et al. Genome-wide Association Study Identifies 27 Loci Influencing Concentrations of Circulating Cytokines and Growth Factors. Am J Hum Genet. 2017; 100(1):40-50.
  18. Sakimoto T, Shoji J, Yamada A, Sawa M. Upregulation of matrix metalloproteinase in tear fluid of patients with recurrent corneal erosion. Jpn J Ophthalmol. 2007; 51(5):343-6.
  19. Pifer MA, Maerz T, Baker KC, Anderson K. Matrix metalloproteinase content and activity in low-platelet, low-leukocyte and high-platelet, high-leukocyte platelet rich plasma (PRP) and the biologic response to PRP by human ligament fibroblasts. Am J Sports Med. 2014; 42(5):1211-8.
  20. Kim KM, Shin YT, Kim HK. Effect of autologous platelet-rich plasma on persistent corneal epithelial defect after infectious keratitis. Jpn J Ophthalmol. 2012; 56(6):544-50.
  21. Alizadeh S, Balagholi S, Baradaran-Rafii A, Delfaza-Baher S, Safi S, Safi H, et al. Autologous Platelet-rich Plasma Eye Drops Accelerate Re-epithelialization of Post-keratoplasty Persistent Corneal Epithelial Defects. J Ophthalmic Vis Res. 2019; 14(2):131-5.
  22. Kamiya K, Takahashi M, Shoji N. Effect of Platelet-Rich Plasma on Corneal Epithelial Healing after Phototherapeutic Keratectomy: An Intraindividual Contralateral Randomized Study. Biomed Res Int. 2021; 2021:5752248.
  23. Shi L, Ronfard V. Biochemical and biomechanical characterization of porcine small intestinal submucosa (SIS): a mini review. Int J Burns Trauma. 2013; 3(4):173-9.
  24. Yoon KC, Heo H, Jeong IY, Park YG. Therapeutic effect of umbilical cord serum eyedrops for persistent corneal epithelial defect. Korean J Ophthalmol. 2005; 19(3):174-8.
  25. Moradian S, Ebrahimi M, Kanaani A, Faramarzi A, Safi S. Topical Umbilical Cord Serum for Corneal Epithelial Defects after Diabetic Vitrectomy. J Ophthalmic Vis Res. 2020; 15(2):160-5.