Epidemiology and time series analysis of snakebite incidence in Southwestern Iran (Shoushtar) 2017-2022

Document Type : Original Articles

Authors

1 Department of Public Health, Shoushtar Faculty of Medical Science, Shoushtar, Iran

2 Department of Biostatistics and Epidemiology, Faculty of Medicine, Urmia University of Medical Sciences, Urmia, Iran

3 MSc in Epidemiology, Department of Epidemiology & Biostatics, Arnold School of Public Health, University of South Carolina, Columbia.

4 Department of Prevention Communicable Diseases, University of Medical Sciences.

10.32592/ARI.2025.80.2.463

Abstract

Snakebite incidents are a serious concern. approximately 5.4 million snakebite incidents occur worldwide annually, resulting in 125,000 deaths. This study focused on epidemiological surveys and modeling the time series data of snakebites in Shoushtar City from 2017 to 2022. This study recorded data on 396 individuals who experienced snakebite incidents during the research period. Time series analysis in the medical field involves studying and analyzing data collected over time to identify patterns, trends, and relationships. Time series analysis and appropriate models were used to forecast the trend of cases for future months using BOX-Jenkins models. Findings revealed that the majority of snakebites occurred in men and rural areas. The trend remained constant until the end of 2019, and from the last months of 2019 to the end of 2020, it exhibited an increasing trend (during the peak of the COVID-19 pandemic). The data had a seasonal trend, with the highest occurrences in hot seasons and the lowest occurrences in cold seasons. The age groups of 25-44 years and 10-24 years constituted the largest portion of the victims. The most frequently affected body parts were the foot (58.8%) and hand (38.8%). The majority of individuals sought treatment without delay. The best-fitting model for the available data was a seasonal ARIMA model in the form of ARIMA (0,0,0) (1,0,1)12. Forecasting was carried out for the next 6 months using the selected model, suggesting a decrease in snakebite cases compared to previous periods. Overall, time series analysis in the medical field is crucial in improving patient care, enhancing public health strategies, and advancing medical research. It can also aid in resource allocation and healthcare planning.

Keywords

Main Subjects


1. Introduction

Snakebite constitutes a substantial and considerable health concern. Snakes are among the most venomous animals in the reptile category. They are found in most parts of the world except for the South Pole ( 1 ). Snakebite constitutes a grave medical emergency that can result in immediate patient mortality. Furthermore, it is a primary cause of mortality and morbidity in tropical and subtropical regions worldwide ( 2 ). The methods and consequences of envenomation vary geographically, seasonally, and according to the victim's lifestyle, socioeconomic status, housing conditions, general health (age, weight, medical history, and individual sensitivity), bite location, number of bites, depth of penetration, injected venom quantity, and other injected microorganisms accompanying the venom ( 3 ). The provision of healthcare services and the diversity of snake species within the region are also contributing factors to these variations. The Southeast Asian region has the highest incidence of snakebite cases worldwide ( 4 ). As the reporting of snakebite cases is not obligatory in many regions worldwide, precise global statistics on the incidence are not readily available. However, according to reports, approximately 5.4 million snakebite incidents occur worldwide annually, resulting in about 125,000 deaths, and an additional 400,000 people suffer from permanent complications despite receiving initial care ( 5 ). In 2017, the World Health Organization (WHO) formally recognized snakebite as a critical public health concern, formally categorizing it within the broader category of neglected diseases ( 6 ). To address this intricate issue, concerted efforts are imperative from the public health, medical, ecological, and laboratory science sectors ( 7 ). In light of the escalating number of cases, the World Health Organization (WHO) made a commitment in 2019 to reduce snakebite-related deaths and disabilities by half by 2030 ( 8 ). Iran is regarded as one of the countries with a high incidence of snakebites worldwide. The toxicity of 25 out of approximately 69 snake species present in Iran has been proven ( 9 ). The majority of documented cases are reported in the provinces of Sistan and Baluchestan and Khuzestan ( 10 ). The diagnosis of snakebite is primarily reliant on the patient's self-report, laboratory investigations, and a syndromic approach ( 11 ). In 2019, snakebite resulted in 63,400 deaths and 2.94 million years of life lost (YLL) on a global scale. Snakebite is more prevalent among males than females ( 12 ). Individuals engaged in wild environments or agricultural activities, including but not limited to farming, forestry, fishing, mining, wildlife management, or outdoor work, are more prone to snake bites. A lack of awareness regarding the initial actions to be taken and the necessity of prompt treatment with antivenom can result in severe health consequences for the affected individuals. However, the implementation of a comprehensive reporting and registration system for snakebite cases remains limited to a few countries. Furthermore, the occurrence of snakebite incidents is more prevalent in rural and remote regions, which contributes to underreporting and a paucity of accurate data concerning mortality and incidence ( 6 , 13 ). The impact and complications of snakebites are influenced by various factors, including an individual's lifestyle, socioeconomic status, housing conditions, age, geographical location, method of exposure, access to medical services, and the prevalence of different snake species in each region. Consequently, there is a necessity for studies and research to be conducted in various locations. In the tropical regions of southern Iran, there is a higher incidence of snakebites compared to other parts of the country. However, there have been fewer comprehensive studies in this field, particularly regarding the temporal trend of their occurrences. Therefore, the objective of this study is twofold: first, to identify the time series behavior of snakebite incidents and, second, to determine a suitable model. This will allow us to identify the pattern of their occurrences and predict future trends. This initiative is designed to support the efforts of relevant authorities in the region, with the aim of enhancing control and prevention measures to address the issue of snakebites.

2. Materials and Methods

This descriptive-analytical and time series study of snakebite cases from April 2017 to March 2022 in Shushtar County, Khuzestan Province, is the subject of this investigation. The analysis was informed by reported data from the local health center. The variables that were the focus of the study included age, gender, region, month of incidence, affected body part, time of incidence, delay in seeking medical care, history of snakebite, and administration of serum. The forecasting of future trends in case counts was accomplished through the implementation of time series analysis and the employment of suitable models, with the utilization of Box-Jenkins models being a key element of this approach.

The overall formula for time series analysis:

[Y = Trend + Seasonality + Residual]

The letter "Y" is used to represent the observed data in a time series. The letter "Trend" is used to capture long-term increases or decreases in the data. The letter "Seasonality" is used to represent repeating short-term fluctuations in the data. The letter "Residual" is used to represent random variation or error left after the Trend and Seasonality are accounted for. The formula is a basic framework used in time series analysis to decompose the data into its components for better understanding and forecasting. The modeling process was comprised of three stages: model identification, estimation of parameters for the selected model, and evaluation of the final model. The stationarity of the mean and variance was examined using autocorrelation function (ACF) and partial autocorrelation function (PACF) plots. The selection of the appropriate model was made subsequent to the implementation of differencing utilizing autoregressive (AR) p and moving average (MA) q estimations, in conjunction with the AUTO ARIMA command and the AIC criterion. The analysis was conducted using SPSS and R studio software (Figure 1).

Figure 1. Stages of time series analysis.

3. Results

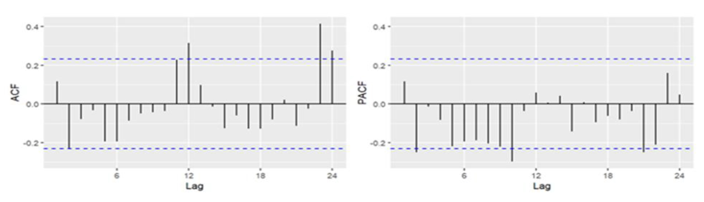
During the study period, data concerning 396 individuals was documented as cases of snakebite. The highest incidence of snakebites was observed among males (79 %) and in rural areas (68.1%). A statistically significant discrepancy was identified between snakebite incidence, gender, and the location of occurrence based on the Chi-square test (p<0.001). The majority of the victims were between the ages of 25 and 44 (48.9%) and between 10 and 24 (23.9%). No statistically significant disparities were observed among the various age groups with regard to the occurrence of snakebites. The lower extremities were the most frequently affected body parts, with the foot (58.8%) and hand (38.8%) being the most affected. Snakebite incidents exhibited a peak occurrence from 12:00 a.m. to 6:00 a.m. The majority of individuals sought treatment promptly, while 14.1% experienced a delay of more than 3 hours. In the course of the study, a single fatality was documented in 1399, attributable to a delay in seeking medical attention that exceeded three hours (Table 1). The utilization of time series analysis was instrumental in the examination of monthly snakebite data. The data decomposition plot (Figure 2) reveals the observed data series (2A) and the underlying trend in the data (2B). The trend remained constant until the end of 2019, and from the last months of 2019 to the end of 2020, it exhibited an increasing trend (during the peak of the pandemic). A modest escalation was also observed towards the conclusion of 2021. As illustrated in Figure 2C, the data series demonstrates seasonal variations. An increase in snakebite cases was observed during the initial months of the year, followed by a subsequent decrease. The lowest number of snakebite incidents was observed in November and December, followed by another increase from the month of March. As illustrated in Figure 2(D), the residual time series is depicted after the elimination of trends and seasonal variations from the original data set. This particular segment of the graph is devoid of any discernible patterns, suggesting that it does not contain any specific patterns in the data. The absence of instability in variance was confirmed using the BOX-COX test, while instability in the mean was observed due to the presence of both increasing and decreasing trends in the data, as well as seasonal patterns. In order to address the mean instability in the series, a differencing method was applied. This process entailed the implementation of first-order differencing on the series data on a single occasion and seasonal differencing on a single occasion. The resulting plots, including time series, autocorrelation, and partial autocorrelation, are shown after seasonal differencing. The application of seasonal differencing has been demonstrated to be a more efficacious approach in addressing the mean instability observed in the series (Figure 3). The initial parameters for Box-Jenkins modeling were determined using autocorrelation and partial autocorrelation plots, which were generated after implementing seasonal differencing. Given the significance of the 10th lag in the partial autocorrelation plot and the significance of the 12th lag in the autocorrelation plot, the initial model was considered as a seasonal ARIMA (0,0,0) (1,0,1)12 model. Additionally, the 'auto arima' command was utilized to ascertain the most suitable model for this data set. The optimal model identified by the aforementioned command was determined to be the ARIMA (0,0,0) (1,0,1)12 model. The coefficients and evaluation criteria for this model are delineated in Table 2. The residuals of the model were examined to assess its suitability. This was done by plotting residual graphs and the autocorrelation function (ACF) (Figure 4). The findings indicated that the distribution of residuals was random and lacked any discernible pattern, and no significant autocorrelation was observed in the residuals. The histogram of the model residuals exhibited a normal distribution. Following a thorough examination of the model's components, a prediction was made regarding the number of monthly snakebite cases for the subsequent six months. This prediction was derived from the previously mentioned model. According to the prediction, the number of cases is expected to decrease compared to the past, and a seasonal trend is also observable in predicting future cases (Figure 5).

Variable Group N %
Gender Man 313 79
Female 83 20.9
Bite area City 126 31.8
rural 270 68.1
Age 0-9 26 6.5
10-24 95 23.9
25-44 194 48.9
45-64 63 15.9
65< 18 4.5
Bitten organ Head and neck 4 1
Hand 154 38.8
Leg 233 58.8
trunk 5 1.2
Bite time 24-6 125 31.5
6-12 89 22.4
12-18 87 21.9
18-24 95 23.9
Referral time >1h 222 56.3
1-2h 118 29.7
3< 56 14.1
Recovery time >6h 358 90.4
<6h 38 9.5
Table 1.Frequency distribution of Snskebite cases by demographic variable in Shushtar County (2017-2022).

Figure 2. trend, seasonality, and residuals.

Figure 3. Plot of autocorrelation (ACF) and partial autocorrelation functions (PACF) for Snakebite cases after seasonal differentiation.

SAR1 SMA1
Coef .8317 -.5408
SE .1455 .2257
P-Value 0.01 0.00
Log-likelihood -188.42
AIC 382.85
BIC 389.63
Table 2.ARIMA models Final Estimates of Parameters.

Figure 4. Plot of Autocorrelation function and histogram for the model's residuals.

Figure 5. Prediction of Snakebite cases with the model for the next 6 months.

4. Discussion

Snakebite constitutes a significant health concern in economically disadvantaged and developing nations. Consequently, there has been a paucity of studies conducted to ascertain the incidence and influencing factors of this issue. The findings of the present study indicated a seasonal pattern in the prevalence of snakebites, with a higher incidence observed during the warm months and a lower incidence during the cold months. The incidence rate exhibited an upward trend from the final months of 2019 to the conclusion of 2020, a period that coincided with the peak of the pandemic. In the study by Ebrahimi, Brunda, and Hmimou, the highest number of snakebite cases occurred in the warm months ( 14 - 16 ). The heightened incidence of snakebites during the hot season can be ascribed to the fact that snakes are most active at temperatures ranging from 25 to 32 degrees Celsius. Furthermore, the occurrence of hot seasons in southern regions of Iran aligns with the agricultural season and the practice of working in the fields. This concurrence can result in an increase in human encounters with snakes. The observed increase in snake bite incidents, particularly during the period of peak pandemic, could be attributed to a combination of factors. These include the psychological impact of the pandemic, which has led to an increase in fear of infection, and the resultant restrictions on human movement and social interaction, which have led to a decline in the number of people spending time in confined indoor spaces and an increase in outdoor activities. These activities have increased the likelihood of encounters with snakes. The majority of cases of snakebite were observed in men between the ages of 25 and 44. Furthermore, the study conducted by Mulay, Buranasin, and Dehghani revealed that the majority of snakebite cases were observed in males within the age group of 10-44 years ( 17 , 18 ). The higher prevalence of snakebites in men and the active age group of the community could be attributed to the higher involvement of men in farming and agriculture, as well as their presence in snake habitats. Furthermore, men may engage in a greater number of high-risk behaviors in comparison to women. The higher incidence of snakebites in rural areas can be attributed to various factors, including, but not limited to, inappropriate rural environments, suitable conditions for snakes to hide and live in, and the presence of farms and orchards. Snakebites were observed to have a uniform distribution over the 24-hour period, with slightly elevated rates from midnight to 6 a.m. This finding stood in contrast to the conclusions of the research conducted by Leite ( 19 ). A similar finding was reported by Ebrahimie's study in Haji-Abad, southern Iran, which indicated that snakes exhibited higher levels of activity during the late-night to early-morning period ( 16 ). This phenomenon is presumably attributable to nocturnal resting in open areas in rural regions, a behavior likely influenced by the elevated temperatures characteristic of these environments. The majority of injured individuals sought treatment within the initial 2 hours. In the study by Jamshidi and Tavares, the majority of the injured had visited the medical center in less than 1.5 hours ( 20 , 21 ). In the study conducted by Ebrahimi, 75% of the injured subjects sought treatment within three hours ( 16 ). The fact that the majority of victims seek medical attention within two hours of the incident underscores the pressing nature of the issue and the need for heightened awareness of its urgency in this county. Given the critical importance of the time interval between snakebite incidents and the administration of anti-venom for the survival of the victim, there is a need for ongoing public education to promote awareness of the necessity for prompt treatment and to underscore the significance of this issue. Furthermore, given the climatic conditions of Shush, which are characterized by hot weather, it is evident that most activities are undertaken during the warm seasons, specifically after sunset. Furthermore, given that snakes typically inhabit dark environments and their activity and hunting peaks at night, an increase in encounters with snakes during this time period appears to be a natural phenomenon. The body parts most affected by the condition were the feet and then the hands. In the study by Hati, Ochola, and Kassiri, the majority of snakebites occurred on the lower limbs and then the hands ( 22 - 24 ). The practice of walking barefoot in areas with a high prevalence of snakes, as well as the increased use of these areas for work and activities, has been identified as a contributing factor to the elevated snakebite incidence in these regions, even in the absence of protective measures such as boots and gloves. Pursuant to time series analysis and the employment of the ARIMA(0,0,0)(1,0,1)12 model, the forecast indicated a decrease in cases for the subsequent six months. However, according to the findings of Ebrahimi's study, the ARIMA (1,0) (1,1)12 model was identified as the most effective for prediction purposes. This outcome is in contrast to the fitted model in this study, where AR=1 ( 16 ). In Zamani's study, the most appropriate model was determined to be the first-order moving average (AR=1) with the first-order autoregressive (MA=1) ( 25 ). In all three studies, the presence of seasonal patterns in the data was also highlighted. Consequently, it can be deduced that incorporating seasonal factors in the models provides the optimal approach for identifying and predicting the time series patterns utilised in this analysis. The occurrence pattern in each region differs according to its climatic and ecological conditions. A limitation of the study is its narrow focus on a specific area without considering a broader region.

Acknowledgment

The authors express their profound gratitude to the staff of Shushtar Health Center for their invaluable contributions to this study.

Authors' Contribution

Study concept and design: F. R, S A. M

Acquisition of data: H. R

Analysis and interpretation of data: F. R, S A. M

Drafting of the manuscript: F. R, S A. M, L. S, H. R

Critical revision of the manuscript for important intellectual content: S A. M, L. S, H. R Statistical analysis: F. R, S A. M

Study supervision: S A. M, L. S, H. R.

Ethics

The present research was supported and approved by the Shoushtar Faculty of Medical Sciences (IR.SHOUSHTAR.REC.1398.006).

Conflict of Interest

The author(s) declare that they have no competing interests.

Funding

This research was not supported by financial resources from public agencies, commercial entities, or nonprofit organizations.

Data Availability

The data that support the findings of this study are available on request from the corresponding author.

References

  1. Dehghani R, Dadpour B, Mehrpour O. Epidemiological profile of snakebite in Iran, 2009-2010 based on information of Ministry of Health and Medical Education. International journal of medical toxicology and forensic medicine. 2014; 4(2):33-41.
  2. Kasturiratne A, Lalloo DG, de Silva HJ. Chronic health effects and cost of snakebite. Toxicon: X. 2021; 9:100074.
  3. Hasson S, Al-Jabri A, Sallam T, Al-Balushi M, Mothana R. Antisnake Venom Activity of Hibiscus aethiopicus L. againstEchis ocellatus and Naja n. nigricollis. Journal of toxicology. 2010; 2010(1):837864.
  4. Patra A, Mukherjee AK. Assessment of snakebite burdens, clinical features of envenomation, and strategies to improve snakebite management in Vietnam. Acta tropica. 2021; 216:105833.
  5. Bhaumik S, Beri D, Jagnoor J. The impact of climate change on the burden of snakebite: Evidence synthesis and implications for primary healthcare. Journal of Family Medicine and Primary Care. 2022; 11(10):6147-58.
  6. Bawaskar HS, Bawaskar PH, Bawaskar PH. The global burden of snake bite envenoming. SAGE Publications Sage UK: London, England; 2021.
  7. Chippaux J-P. Snakebite envenomation turns again into a neglected tropical disease! Journal of venomous animals and toxins including tropical diseases. 2017; 23:38.
  8. Seifert SA, Armitage JO, Sanchez EE. Snake envenomation. New England Journal of Medicine. 2022; 386(1):68-78.
  9. Nejadrahim R, Sahranavard M, Aminizadeh A, Delirrad M. Snake envenomation in North-West Iran: A three-year clinical study. International Journal of Medical Toxicology and Forensic Medicine. 2019; 9(1):31-8.
  10. Kassiri H, Dehghani R, Khodkar I, Ahmad FA, Kassiri A. Epidemiological profile of venomous animal bites and stings (A neglected problem) in the north of Sistan-Baluchistan province, South-Eastern Iran. Journal of Entomological Research. 2022; 46(4):917-21.
  11. Knudsen C, Jürgensen JA, Føns S, Haack AM, Friis RU, Dam SH, et al. Snakebite envenoming diagnosis and diagnostics. Frontiers in immunology. 2021; 12:661457.
  12. Global mortality of snakebite envenoming between 1990 and 2019. Nature Communications. 2022; 13(1):6160.
  13. Chippaux JP. Snake-bites: appraisal of the global situation. Bulletin of the World Health organization. 1998; 76(5):515.
  14. Brunda G, Sashidhar R. Epidemiological profile of snake-bite cases from Andhra Pradesh using immunoanalytical approach. Indian journal of medical research. 2007; 125(5):661-8.
  15. Hmimou R, Soulaymani A, Mokhtari A, Arfaoui A, Eloufir G, Semlali I, et al. Risk factors caused by scorpion stings and envenomations in the province of Kelâa Des Sraghna (Morocco). Journal of Venomous Animals and Toxins including Tropical Diseases. 2008; 14:628-40.
  16. Ebrahimi V, Hamdami E, Khademian M, Moemenbellah-Fard M, Vazirianzadeh B. Epidemiologic prediction of snake bites in tropical south Iran: Using seasonal time series methods. Clinical Epidemiology and Global Health. 2018; 6(4):208-15.
  17. Mulay D, Kulkarni V, Kulkarni S, Kulkarni N, Jaju R. Clinical profile of snakebites at SRTR Medical College Hospital, Ambajogai (Maharashtra). Indian Medical Gazette. 1986; 131:363-6.
  18. Buranasin P. Snakebites at Maharat Nakhon Ratchasima Regional Hospital. Southeast Asian journal of tropical medicine and public health. 1993; 24:186.
  19. Leite RdS, Targino ITG, Lopes YACF, Barros RM, Vieira AA. Epidemiology of snakebite accidents in the municipalities of the state of Paraíba, Brazil. Ciencia & saude coletiva. 2013; 18:1463-71.
  20. Daneshi N, Alizadeh-Barzian K, Parvin S, Jamshidi A, Alizadeh-Barzian M, Jamshidi M, et al. Epidemiological Aspect of Scorpion Sting in Behbahan, Iran, During 2007-2018. Comprehensive Health and Biomedical Studies. 2022; 1(2):75-82.
  21. Tavares AV, Araújo KAMd, Marques MRdV, Vieira AA, Leite RdS. The epidemiology of snakebite in the Rio Grande do Norte state, Northeastern Brazil. Revista do Instituto de Medicina Tropical de São Paulo. 2017; 59
  22. Hati A, Mandal M, De M, Mukherjee H, Hati R. Epidemiology of snake bite in the district of Burdwan, West Bengal. Journal of the Indian Medical Association. 1992; 90(6):145-7.
  23. Ochola FO, Okumu MO, Muchemi GM, Mbaria JM, Gikunju JK. Epidemiology of snake bites in selected areas of Kenya. Pan African Medical Journal. 2018; 29(1):1-14.
  24. Kassiri H, Khodkar I, Kazemi S, Kasiri N, Lotfi M. Epidemiological analysis of snakebite victims in southwestern Iran. Journal of Acute Disease. 2019; 8(6):260-4.
  25. Zamani-Alavijeh F, Dehdari T, Angali KA, Rahdari MT, Azar-Abdar T, Hafez AA, et al. Investigation of temporal pattern of scorpion sting and snakebite incidence in patients referred to masjedsoleiman’s main hospital, during 24 months from 21 march 2008 to 20 march 2009. 2014; 1(14):190-7.